• Предмет: Математика
  • Автор: Wolf1k55
  • Вопрос задан 3 года назад

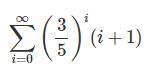
Найти сумму степенного ряда

Приложения:

Ответы

Ответ дал: Аноним
3

Пусть x=\frac{3}{5}

\sum\limits_{i=0}^{\infty} (i+1)x^i = \sum\limits_{i=0}^{\infty} (x^{i+1})'=(\sum\limits_{i=0}^{\infty} x^{i+1})' = (\frac{x}{1-x})' = (-1+\frac{1}{1-x})'=\frac{1}{(1-x)^2}

\sum\limits_{i=0}^{\infty} (\frac{3}{5})^i(i+1) = \frac{1}{(1-\frac{3}{5})^2}= \frac{25}{4}


6575: С необходимым признаком все в порядке
Аноним: Вижу уже, сейчас постараюсь другим способом решить
Ответ дал: 6575
1

Ответ:

25/4

Пошаговое объяснение:

Рассмотрим степенной ряд вида: \sum\limits_{i=0}^{\infty} (i+1)x^i

По признаку Даламбера и необходимому условию сходимости ряда можно заключить, что этот ряд сходится при -1<x<1

Воспользуемся трюком с почленным интегрированием и дальнейшим почленным дифференцированием ряда, которые справедливы на промежутке сходимости исходного степенного ряда:

\sum\limits_{i=0}^{\infty} (i+1)x^i = \sum\limits_{i=0}^{\infty} (x^{i+1})'=(\sum\limits_{i=0}^{\infty} x^{i+1})' = (\frac{x}{1-x})' = (-1+\frac{1}{1-x})'=\frac{1}{(1-x)^2}

Подставляя x=\frac{3}{5} находим сумму искомого ряда:

\sum\limits_{i=0}^{\infty} (\frac{3}{5})^i(i+1) = \frac{1}{(1-\frac{3}{5})^2}= \frac{25}{4}

Вас заинтересует