Надо найти X. Прошу очень подробно!! Если будет достаточно подробно и я пойму - дам 70 баллов!
Приложения:

Ответы
Ответ дал:
1
Ответ:
х=2/3
Пошаговое объяснение:
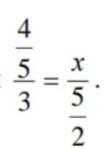
Запишем в виде пропорции -
4/5:3=х:5/2
Исходя из правила пропорции - произведение средних членов пропорции равно произведению крайних членов пропорции, получим
3х=4/5*5/2
3х=20/10=2
х=2/3
Ответ дал:
0
Решение задания прилагаю
Приложения:

Вас заинтересует
2 года назад
2 года назад
2 года назад
2 года назад
7 лет назад
7 лет назад