• Предмет: Математика
  • Автор: unduffnump5631
  • Вопрос задан 3 года назад

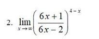
Решить предел Скриншот ниже

Приложения:

Ответы

Ответ дал: wuudistore
1

Ответ:

Смотрите ответ на фотографии

Пошаговое объяснение:

Приложения:

unduffnump5631: Спасибо огромное
wuudistore: Обращайтесь
Вас заинтересует