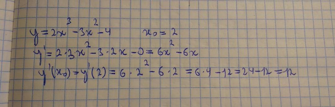
найдите угловой коэффициент касательной к графику функции у=2х^3-3х^2-4 в его точке с абсциссой х0=2 1.1 2.0 3.12 4.4
ПОЖАЛУЙСТА ПОМОГИТЕ СРОЧНО
Ответы
Ответ дал:
2
Ответ:
12
Пошаговое объяснение:
Угловой коэффициент касательной к графику функции: у(x) в точке x0 равен значению производной функции в этой точке у'(xo). Решение на фотографии.
Приложения:

Вас заинтересует
2 года назад
2 года назад
2 года назад
7 лет назад
9 лет назад