• Предмет: Математика
  • Автор: justskiper735
  • Вопрос задан 3 года назад

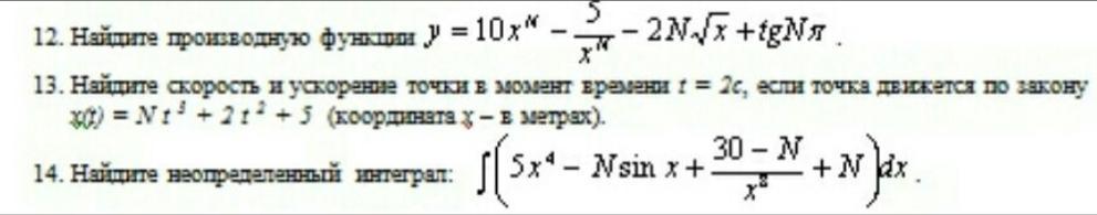
Задачка простая, кто может, черканите, буду признателен);) диагональ куба равна 220 см.найдите ребро куба И если не затруднит, то Решите и их тоже то, что на фотографии)))

Приложения:

justskiper735: Ребят срочно!! Желательно до 11:20 сделайте пожалуйста
justskiper735: Сколько сможете)))
justskiper735: Вместо N- число 20 ставить нужно
justskiper735: Можете не решать, уже поздно

Ответы

Ответ дал: NataMon
0

Ответ:

127 (см) - ребро куба

Пошаговое объяснение:

d² = a²+b²+c²

220²  = 3a²

a² = 220²/3 = 48400/3 ≈ 16 133,33

а = √16133,33 ≈ 127 (см) - ребро куба

Вас заинтересует