• Предмет: Алгебра
  • Автор: DanieloMaestro
  • Вопрос задан 3 года назад

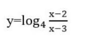
Найдите область определение функции:​

Приложения:

Ответы

Ответ дал: ИльяАнтонов2001
1

Объяснение:

Прежде всего, х не равен 3, чтобы в знаменателе не получился ноль. Дальше, под логарифмом должно стоять выражение больше нуля. Решаем уравнение методом интервалов и записываем ответ.

Приложения:
Вас заинтересует