• Предмет: Математика
  • Автор: vladrov
  • Вопрос задан 3 года назад

Упростить выражение.
Упростить выражение.


\frac{\sqrt[4]{48} }{\sqrt[4]{3} }*\sqrt[3]{-3\frac{3}{8} }:\frac{\sqrt[3]{-216} }{\sqrt[10]{1024} }

Приложения:

Ответы

Ответ дал: sharofat0
1

Ответ: 1 .

Упростите выражение.

Пошаговое объяснение:

Приложения:
Ответ дал: sangers1959
1

Пошаговое объяснение:

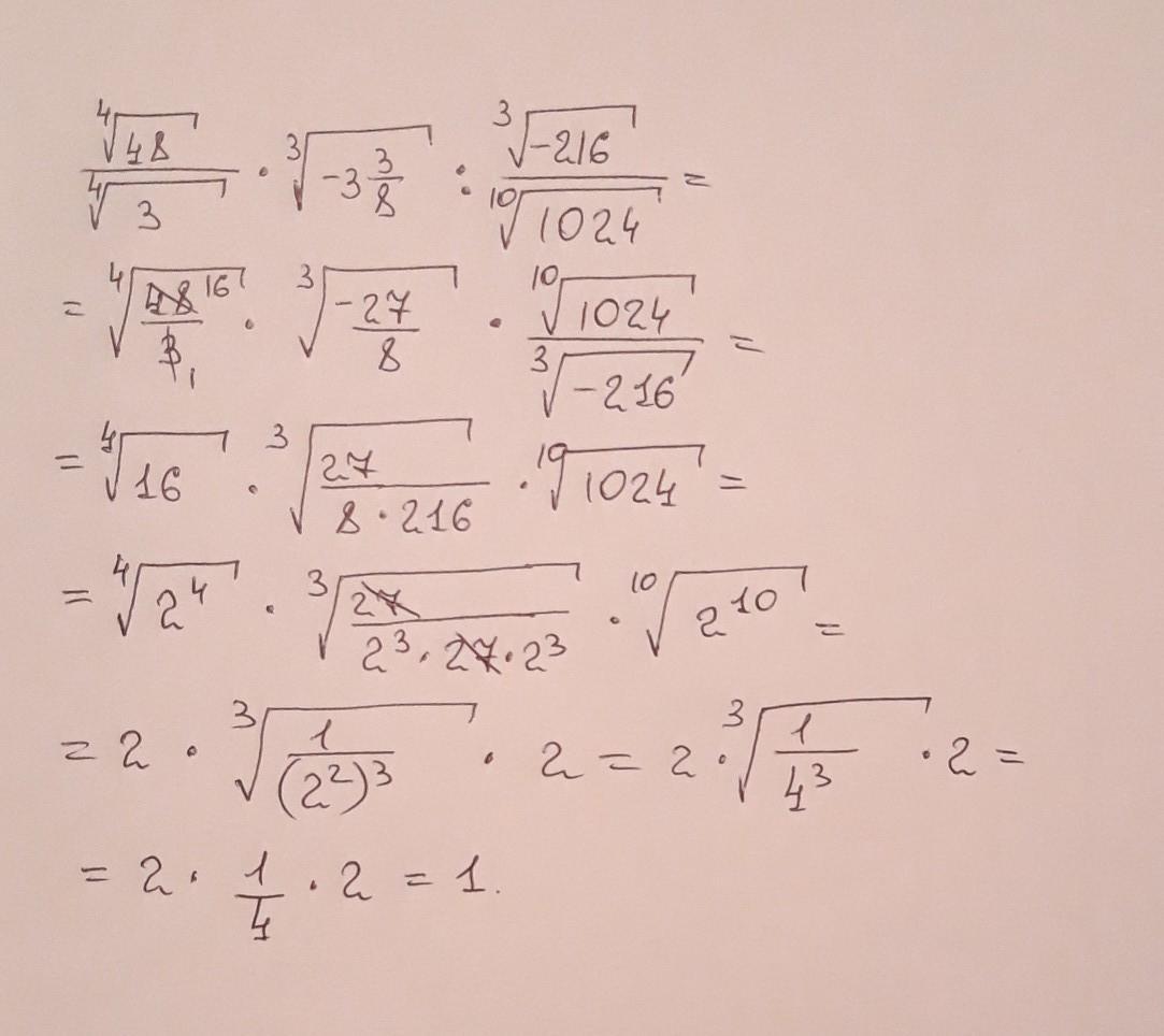
\frac{\sqrt[4]{48} }{\sqrt[4]{3} } *\sqrt[3]{-3\frac{3}{8} } :\frac{\sqrt[3]{-216} }{\sqrt[10]{1024} } =-\sqrt[4]{\frac{48}{3} } *\sqrt[3]{\frac{27}{8} } :(-\sqrt[3]{\frac{6^3}{2^3} } )=\\=-\sqrt[4]{16} *\sqrt[3]{\frac{3^3}{2^3} } :(-\sqrt[3]{3^3 })=-\sqrt[4]{2^4}*\frac{3}{2}:(-3)=-2*\frac{3}{2} :(-3)=\frac{-3}{-3} =1.

Вас заинтересует