• Предмет: Математика
  • Автор: niknikitovich01
  • Вопрос задан 3 года назад

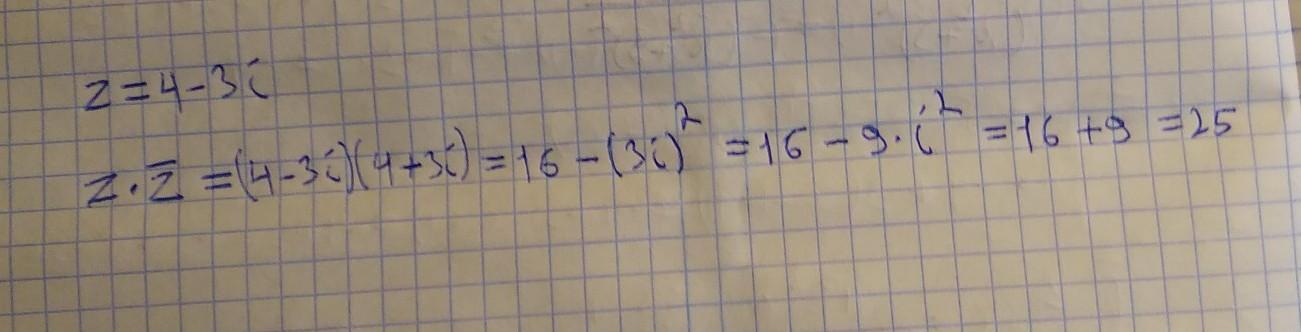
произведение комплексного числа z 4-3i на сопряженное число z равно Выберите один ответ: а) 16-9i б) 8-6i в) 25 г) 5

Приложения:

Ответы

Ответ дал: dimauchenik654454
2

Ответ:

в) 25

Пошаговое объяснение:

i²=-1

Решение на фотографии.

Приложения:
Ответ дал: Amigo3
1

Ответ: (4-3i)*(4+3i)=16-9*i^2=16-9*(-1)=16+9=25.

Ответ: в).

Пошаговое объяснение:

Вас заинтересует