• Предмет: Алгебра
  • Автор: Евруша
  • Вопрос задан 3 года назад

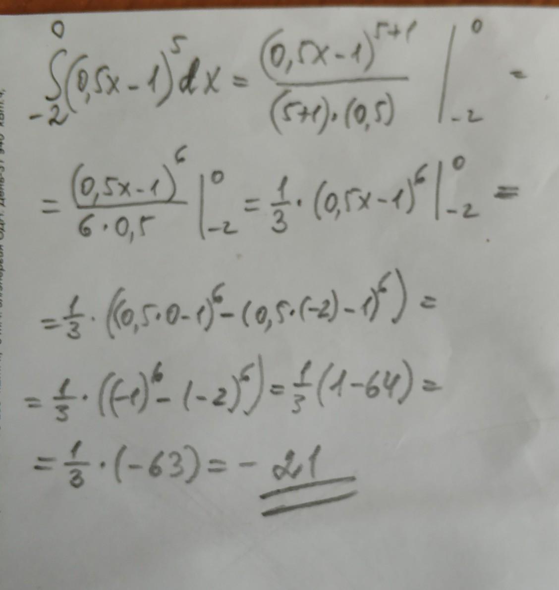
решите пожалуйста с ответом в десятичной до сотых внизу у интеграла -2 \int\limits^0_2( {0.5x-1})^5 \, dx


terikovramazan: Чему равен нижний предел интегрирования?

Ответы

Ответ дал: kirichekov
0

Ответ:

= - 21

Объяснение:

решение во вложении

Приложения:
Вас заинтересует