• Предмет: Геометрия
  • Автор: Katie004
  • Вопрос задан 3 года назад

Помогите, пожалуйста. Даже перевести нормально не могу... и понять суть задачи. Тригонометрия и геометрия.

Здание (DF) и башня (CE) находятся на расстоянии 94 м друг от друга. От крыши здания угол возвышения к вершине башни составляет 15°, а угол понижения(склонения) к низу башни - 46°. Вычислите высоту башни.
Надо найти ЕС.

Приложения:

Katie004: и углы странные.

Ответы

Ответ дал: gatererdi
1

Ответ:

Длина ЕС=122,527 метров.

Объяснение:

1) FC=DB=94 метра.

2) Тангенс угла EDB=EB/DB и угол равен 15 градусов.

tg(15°)=0,267949⇒EB=DB*tg(15°)=94*0,267949=25,1872 метров.

3) Тангенс угла CDB=CB/DB и угол равен 46 градусов.

tg(46°)=1,03553⇒CB=DB*tg(46°)=94*1,03553=97,3398 метров.

4) EC=EB+CB=25,1872+97,3398=122,527 метров.

Ответ: EC≈122,5 метров.


Katie004: Спасибо огромное! Тангенсы углов просто по таблице?
gatererdi: Если есть такая таблица, то да. Я посчитал на инженерном калькуляторе. Думаю так тоже можно.
Katie004: Таблица Брадиса. На калькуляторе тоже можно, наверное. В общем спасибо)
Ответ дал: oganesbagoyan
3

https://znanija.com/task/37783341  

Здание (DF) и башня (CE) находятся на расстоянии 94 м друг от друга. От крыши здания угол возвышения к вершине башни составляет 15°, а угол понижения(склонения) к низу башни - 46°. Вычислите высоту башни  ЕС.  

Ответ:122, 53 м.

Объяснение:    очевидно: EC = EB + BC  

из ΔDBE:   EB = DB*tg(∠EDB) = FCtg15° ;

из ΔDBC:   BC =DB*tg(∠CDB) = FCtg46°  ;

следовательно: EC = EB + BC = FCtg15°+FCtg46° =FC(tg15°+tg46°) ;

EC =94(tg15°+tg46°)≈94(0,268 +1,0355) =122 , 53 (м) .

* * * * * * * * * * * * * * * * * * * * * * * * * * * * * * * * * * * * * * * * * * * * * * * * *

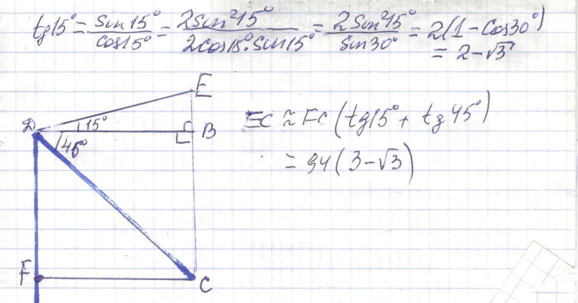
FC(tg15°+tg46°)≈FC(tg15°+tg45°)=FC((1-cos30°)/sin30°+1 )=FC(3 -√3 ) ;

tg15°=sin15°/cos15=2sin²15°/2sin15°cos15°=(1-cos30°)/sin30° =(1-0,5√3)/0,5 2-√3 ; tg15°+tg45°= 2-√3+1 = 3 -√3 .  EC  =FC(tg15°+tg45°)=94(3 -√3)

* * * * * * * * * * * * * * * * * * * * * * * * * * * * * * * * * * * * * * * * * * * * * * * * *

Приложения:
Вас заинтересует