• Предмет: Алгебра
  • Автор: alushka8
  • Вопрос задан 3 года назад

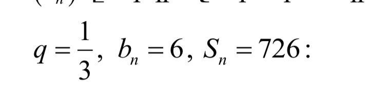
Геометрическая прогрессия. Найти n если

Приложения:

Ответы

Ответ дал: liftec74
1

Ответ:

n=5

Объяснение:

Сумма геом прогрессии вычисляется по формуле

Sn=(b1-q*bn)/(1-q)    Найдем b1:

726= (b1-1/3*6)/(1-1/3)

726=(b1-2)/(2/3)

726=(b1-2)*3/2

b1-2=726:3*2

b1-2=484

b1=486

n-ый член геометрической прогрессии bn  равен

bn=b1*q^(n-1)

6=486*1/3^(n-1)

1=81*1/3^(n-1)

1/81=1/3^(n-1)

(1/3)^4=1/3^(n-1)

=>  n-1=4

n=4+1

n=5

Вас заинтересует