• Предмет: Алгебра
  • Автор: apakhutskaya
  • Вопрос задан 3 года назад

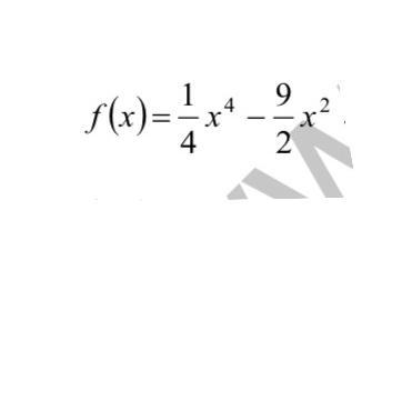
Функция
Найти точки минимума.

Приложения:

Ответы

Ответ дал: Аноним
1

у(х)=1/4 * х⁴ - 9/2 * х²

у'(х)=1/4 * 4 * х³ - 9/2 * 2 * х

у'(х)=х³ - 9х=х(х²-9)

х(х-3)(х+3)=0

критич. точки: х=0; х=3; х=-3

          ------------(-3)------------------(0)------------------(3)------------->x

у'(x)             -                    +                          -                    +

у(х) уменьш. мин.   возр.    макс.  уменьш. мин.  возр.

точки минимума при х=-3;  х=3.   Это ответ.

Вас заинтересует