• Предмет: Математика
  • Автор: nina5641
  • Вопрос задан 3 года назад

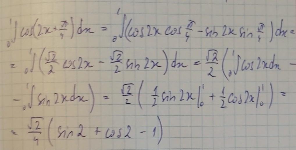
Вычислить интеграл cos(2x+пи /4)dx от 0 до 1

Ответы

Ответ дал: ИльяАнтонов2001
1

Пошаговое объяснение:

Решение на фото. Сначала раскрыли косинус по формуле, дальше вынесли дробь за скобку, разбили на два интеграла и решили.

Приложения:
Вас заинтересует