• Предмет: Математика
  • Автор: kyberbaby
  • Вопрос задан 3 года назад

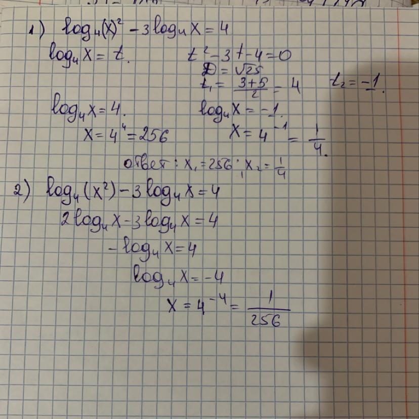
помогите срочно, 1 задание, 2 ненужно, с полным решением 3 задания. ​

Приложения:

kyberbaby: спасибо огромное, надеюсь сдам сессию)
mehrinamazova01: Вам спасибо. Удачи

Ответы

Ответ дал: mehrinamazova01
1
Решение третьего задания
Приложения:
Вас заинтересует