• Предмет: Математика
  • Автор: KirillGloker
  • Вопрос задан 3 года назад

1)Здравствуйте, помогите решить примеры, с полным решением. Спасибо

Приложения:

KirillGloker: Время выполнения 40 минут
KirillGloker: осталось 6 мин
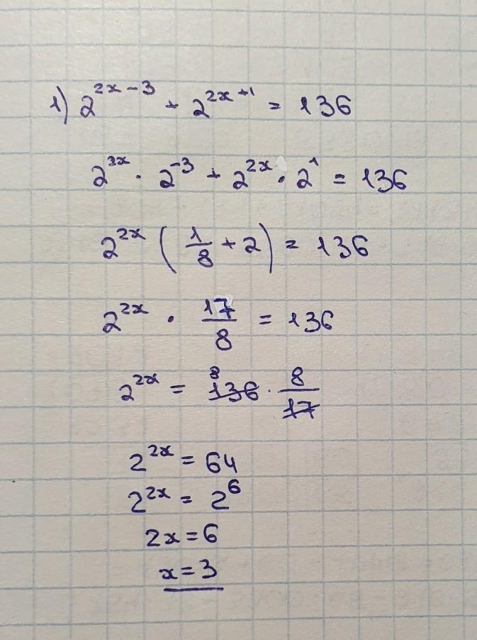
MrSolution: 1) 2^2x(1/8+2)=136 => 2^2x=64 => 2x=6 => x=3
KirillGloker: Спасибо
KirillGloker: все, время кончилось....
MrSolution: 2) log_2(x(x-7))<=3 => ОДЗ: x>7 => a=2>1 => x(x-7)<=2^3 => x^2-7x-8=0 => (x-8)(x+1)<=0 =>x принадлежит [-1; 8] => Ответ: (7; 8]
KirillGloker: Спасибо, благослови тебя все бога

Ответы

Ответ дал: Miroslava227
0

Ответ:

решение на фотографиях

Приложения:
Вас заинтересует