Ответы
Ответ дал:
0
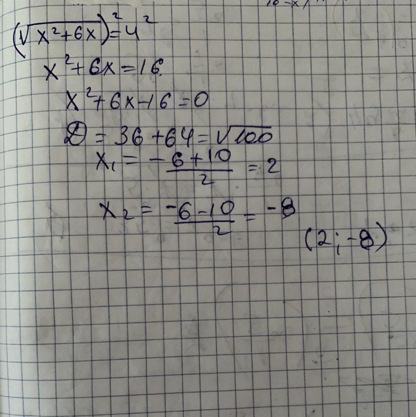
Ответ:корни 2 и -8
Первым делом возводим в квадрат левую и правую часть уравнения,а потом упростив решаем квадратное уравнение
Первым делом возводим в квадрат левую и правую часть уравнения,а потом упростив решаем квадратное уравнение
Приложения:
Вас заинтересует
2 года назад
2 года назад
2 года назад
2 года назад
8 лет назад
8 лет назад