• Предмет: Математика
  • Автор: Аноним
  • Вопрос задан 3 года назад

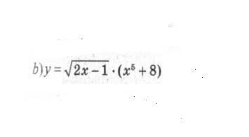
Найти производные функции

Приложения:

Ответы

Ответ дал: sonata85ua
0

Ответ:

Пошаговое объяснение:

y'=(\sqrt{2x-1} )'(x^5+8)+(\sqrt{2x-1} )(x^5+8)'=\frac{2(x^5+8)}{2\sqrt{2x-1} } +(\sqrt{2x-1} )*5x^4=\frac{x^5+8}{\sqrt{2x-1} }+(\sqrt{2x-1} )*5x^4

Вас заинтересует