• Предмет: Математика
  • Автор: Poznavatel9B
  • Вопрос задан 3 года назад

Пожалуйста решите задачи (выделенные красным)

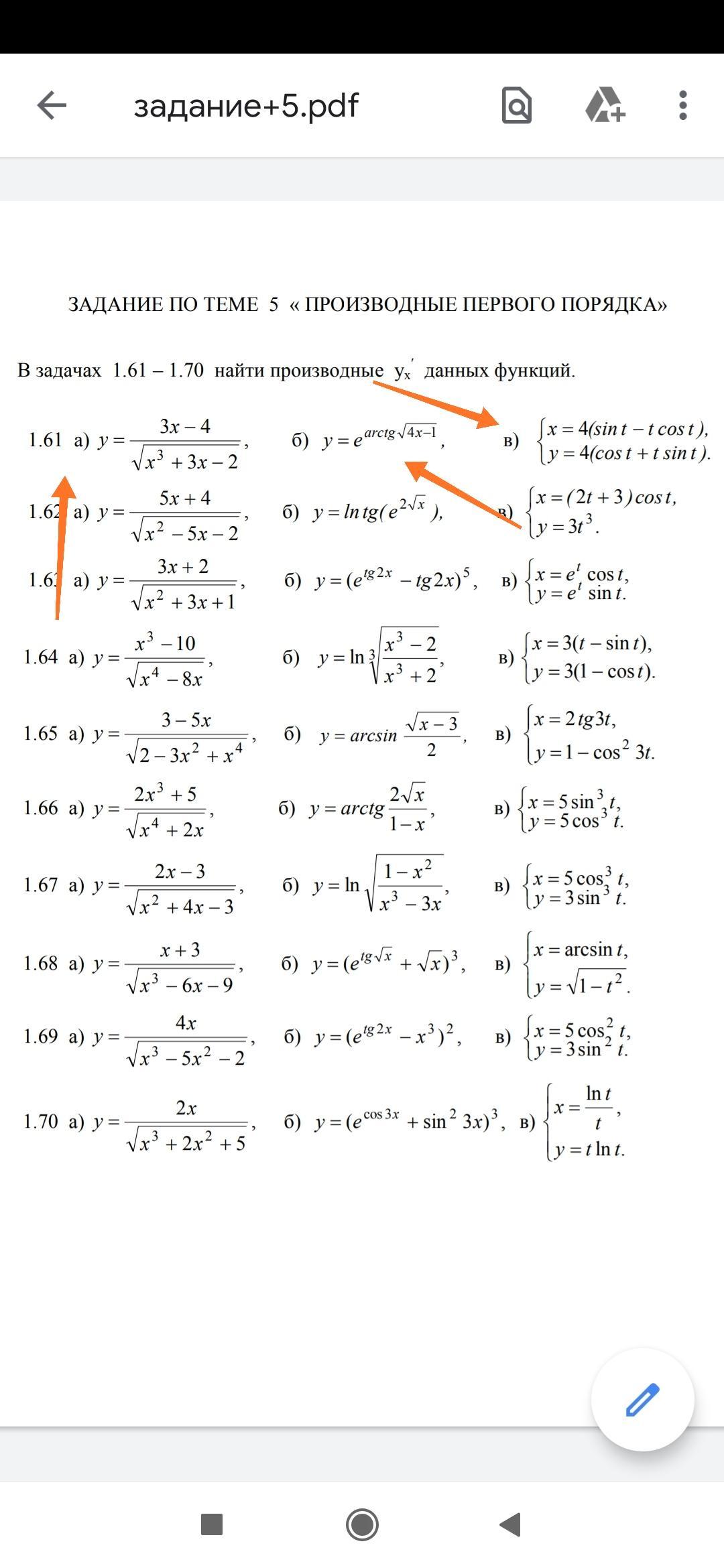
Приложения:

Ответы

Ответ дал: Miroslava227
0

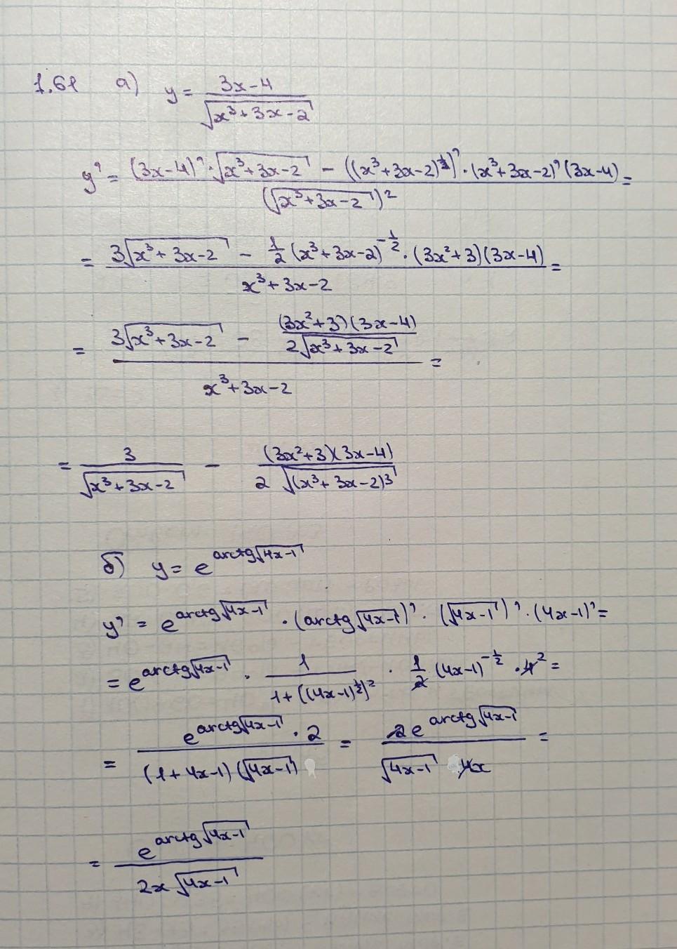
Ответ:

решение на фотографиях

Приложения:
Вас заинтересует