• Предмет: Алгебра
  • Автор: Ифигения
  • Вопрос задан 3 года назад

Задана функция f(x). Найти точки разрыва функции, если они существуют. Сделать чертеж.

Приложения:

Ответы

Ответ дал: NNNLLL54
3

Ответ:

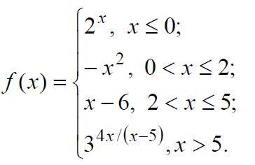
f(x)=\left\{\begin{array}{l}2^{x}\ ,\ \ x\leq 0\ ,\\-x^2\ ,\ \ 0<x\leq 2\ ,\\x-6\ ,\ \ 2<x\leq 5\ ,\\3^{\frac{4x}{x-5}}\ ,\ \ x>5\ .\end{array}\right

Исследуем поведение функции вблизи точек, где её аналитическое выражение меняется . Найдём левосторонние и правосторонние пределы в точках х=0, х=2 , х=5 .

a)\ \ \lim\limits _{x \to 0-0}f(x)=\lim\limits _{x \to 0-0}2^{x}=1\ \ ,\ \ \ \lim\limits _{x \to 0+0}f(x)=\lim\limits _{x \to 0+0}(-x^2)=0\\\\\lim\limits _{x \to 0-0}f(x)\ne \lim\limits _{x \to 0+0}f(x)\ \ \Rightarrow

При х=0 функция имеет разрыв 1 рода .

b)\ \ \lim\limits _{x \to 2-0}f(x)=\lim\limits _{x \to 2-0}(-x^2)=-4\ ,\ \ \lim\limits _{x \to 2+0}f(x)=\lim\limits _{x \to 2+0}(x-6)=-4\\\\f(2)=(-x^2)\Big|_{x=2}-4\\\\\lim\limits _{x \to 2-0}f(x)=\lim\limits _{x \to 2+0}f(x)=f(2)=-4\ \ \ \Rightarrow

При х=2 функция непрерывна.

c)\ \ \lim\limits _{x \to 5-0}f(x)=\lim\limits _{x \to 5-0}(x-6)=-1\\\\\lim\limits _{x \to 5+0}f(x)=\lim\limits _{x \to 5+0}3^{\frac{4x}{x-5}}=3^{+\infty }=+\infty \ \ \ \Rightarrow

При х=5 функция имеет разрыв 2 рода .

График функции нарисован сплошной линией.

На 1 рисунке нет чертежа функции  y=3^{\frac{4x}{x-5}}   при х>5  , для которого прямая х=5 является асимптотой , так как он не умещается при данном масштабе. Этот график полностью начерчен отдельно на 2 рисунке, чтобы вы понимали, как он расположен. Но для вашей функции берётся только та часть графика, которая нарисована для х>5 .

Приложения:

Ифигения: Большое спасибо! С чертежом сама управлюсь! Не могли бы вы глянуть, пожалуйста, задание наподобие этого? https://znanija.com/task/37787222
Вас заинтересует