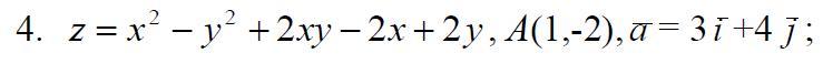
Даны: функция z=f(x,y), точка A и вектор a . Требуется найти: 1) grad z в точке A ; 2) производную в точке A по направлению вектора a ; 3) экстремум функции z=f(x,y)
Приложения:




Ответы
Ответ дал:
1
Ответ: 1)gradz(A)=-4i+8j; над векторами черточка; 2)4; 3)экстремум отсутствует.
Объяснение:во вложении.
Приложения:

Вас заинтересует
2 года назад
2 года назад
2 года назад
7 лет назад
7 лет назад
9 лет назад