• Предмет: Математика
  • Автор: whisky322
  • Вопрос задан 3 года назад

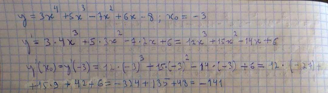
Вычислите чему равна первая производная в заданной точке y=3x^(4)+5x^(3)-7x^(2)+6x-8,x_(0)=-3

Ответы

Ответ дал: dimauchenik654454
0

Ответ:

-141

Пошаговое объяснение:

Решение на фотографии.

Приложения:
Вас заинтересует