• Предмет: Математика
  • Автор: dds222chi
  • Вопрос задан 3 года назад

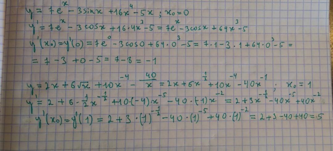
Чему равна первая производная в заданной точке

Приложения:

Ответы

Ответ дал: dimauchenik654454
0

Ответ:

1) -1

2) 5

Пошаговое объяснение:

Решение на фото.

Приложения:
Вас заинтересует