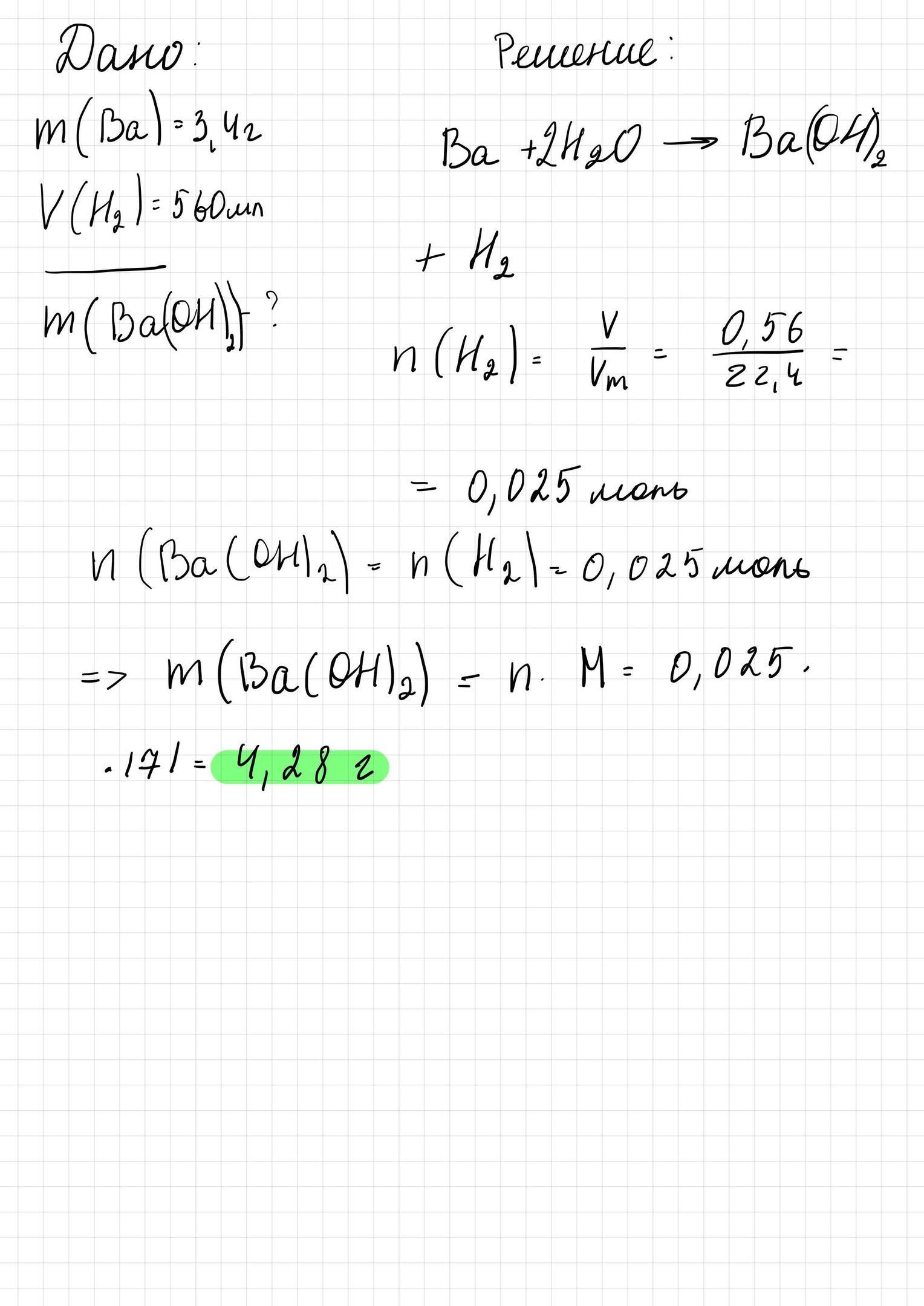
3. При взаимодействии бария массой 3,4 г с водой выделилось 560мл водорода. Определить массу образовавшегося гидроксида.
Ответы
Ответ дал:
0
Решение задачи в приложенном фото
Приложения:

Вас заинтересует
2 года назад
7 лет назад
7 лет назад