• Предмет: Алгебра
  • Автор: raccoonciity228
  • Вопрос задан 3 года назад

Помогите письменно объяснить решение хотя бы одной задачи, просто напишите что, как и почему, мне надо защитить это, прошу и зараннее благодарю всех. 1 - составить уравнение касательной к графику данной функции в заданной точке. 2- просто упростить.

Приложения:

Ответы

Ответ дал: atamuradovaparvina
1

Объяснение:

в первой задаче вам дана функция. Для того чтоб найти уравнение касательной есть готовая формула)=> y=f (x0)+f'(x0)(x-x0) как в вашей тетради)

f (x0) значение самой функции в точки х0

f'(x0) значение производной в точки х0

х это константа

изначально находим производную (f'(x))

подставляем х0 и также в самой функции (f (x)). Полученные результаты ставим в уравнение и получаем конечный ответ с константой х)

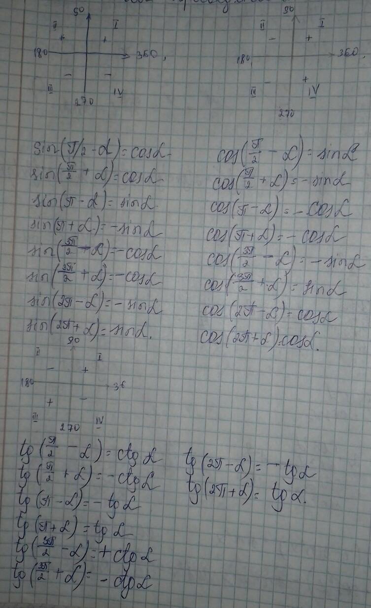
во второй задаче использованы формулы приведения я оставлю фотку этих формул)

Приложения:
Вас заинтересует