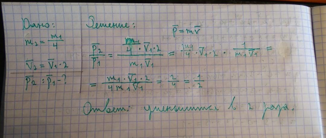
Как и во сколько раз изменится импульс тела, если массу уменьшить в 4 раза, а скорость увеличить в два раза?
Ответы
Ответ дал:
1
Ответ:
Уменьшится в 2 раза.
Объяснение:
Решение на фото.
Приложения:

Ответ дал:
1
- Ответ:
Импульс тела уменьшится в 2 раза
- Объяснение:
Формула для нахождения импульса тела:
p=m*V, где
р-импульс тела
m-масса
V-скорость
Увеличиваем скорость в 2 раза, а массу уменьшаем в 4 раза:
p =*2V
p=0,5mV
Вас заинтересует
2 года назад
2 года назад
2 года назад
7 лет назад
7 лет назад
9 лет назад
9 лет назад