• Предмет: Алгебра
  • Автор: malta12
  • Вопрос задан 3 года назад

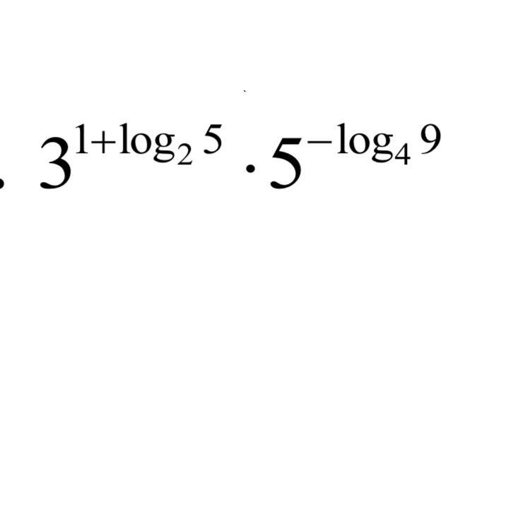
Как решать эту задачу

Приложения:

Ответы

Ответ дал: MrSolution
1

Ответ:

3

Объяснение:

3^{1+log_25}\times5^{-log_49}\\\\1)\\\\3^{1+log_25}=3\times3^{log_25}\\log_25=\dfrac{log_35}{log_32}\\=>3^{log_25}=3^{\frac{log_35}{log_32}}=5^{1/log_32}\\=>3\times5^{1/log_32}\\\\2)\\\\3\times5^{1/log_32}\times5^{-log_49}\\\\5^{1/log_32}\times5^{-log_49}=5^{1/log_32}\times5^{-log_23}\\log_23=\dfrac{1}{log_32}\\5^{1/log_32}\times5^{-1/log_32}=1\\\\3)\\\\3\times 1=3

Задание выполнено!

Вас заинтересует