• Предмет: Математика
  • Автор: bogdanermakov1990
  • Вопрос задан 3 года назад

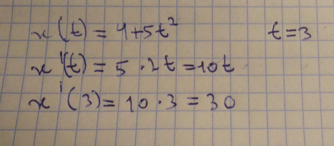
Закон движения материальной точки имеет вид x(t)=4+5t^2 , где (x)t - координата точки в момент времени t. Тогда скорость точки при t=3 равна…
1)49;
2)30;
3)10;
4)34;


bogdanermakov1990: С подробным решением!

Ответы

Ответ дал: dimauchenik654454
1

Ответ:

2) 30

Пошаговое объяснение:

Приложения:
Вас заинтересует