• Предмет: Алгебра
  • Автор: Ифигения
  • Вопрос задан 3 года назад

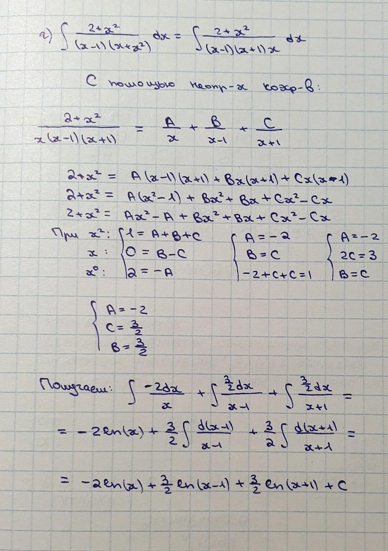
Найти неопределенные интегралы

Приложения:

Ответы

Ответ дал: Miroslava227
1

Ответ:

решение на фотографиях

Приложения:

Ифигения: Большое спасибо!
Аноним: ответ не правильный, корень потеряли
Ответ дал: Аноним
0

Объяснение: смотрите во вложении

Приложения:
Вас заинтересует