• Предмет: Математика
  • Автор: akimihinakatya54
  • Вопрос задан 3 года назад

срочно пожалуйста .......

Приложения:

Ответы

Ответ дал: binamaksimchuk
1

Ответ:

Пошаговое объяснение:

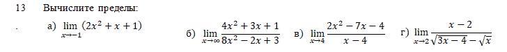
a)\ \lim_{x \to \ -1}(2x^{2} +x+1)= \lim_{x \to \ -1}2x+ \lim_{x \to \ -1}\ x+ \lim_{x \to \ -1}1=2*(-1)+(-1)+1= -2

б) \lim_{x \to \infty} \frac{4x^{2} +3x+1}{8x^{2} -2x+3}=  \lim_{x \to \infty} \frac{4+\frac{3}{x} +\frac{1}{x^{2} } }{8-\frac{2}{x} +\frac{3}{x^{2} } }= \frac{4+0+0}{8-0+0} =\frac{4}{8} =\frac{1}{2} =0,5

в) \lim_{x \to \ 4} \frac{2x^{2}-7 x-4}{x-4} = \lim_{x \to \ 4} \frac{2(x+0,5)(x-4)}{x-4}\=\lim_{x \to \ 4} 2x+1=\lim_{x \to \ 4} 2x+\lim_{x \to \ 4} 1=2*4+1=9

г)  \lim_{x \to \ 2} \frac{x-2}{\sqrt{3x-4}-\sqrt{x}  } =\lim_{x \to \ 2} \frac{(x-2)(\sqrt{3x-4} +\sqrt{x}) }{(\sqrt{3x-4}-\sqrt{x})(\sqrt{3x-4} +\sqrt{x})   }=\lim_{x \to \ 2} \frac{(x-2)(\sqrt{3x-4} +\sqrt{x}) }{3x-4-x }=\\\\\lim_{x \to \ 2} \frac{(x-2)(\sqrt{3x-4} +\sqrt{x}) }{2(x-2) }=lim_{x \to \ 2} \frac{\sqrt{3x-4} +\sqrt{x}}{2}=lim_{x \to \ 2} \frac{\sqrt{3*2-4} +\sqrt{2}}{2}=\frac{\sqrt{2}+\sqrt{2}  }2} =\\\\\frac{2\sqrt{2} }{2} =\sqrt{2} \\\\


binamaksimchuk: г) тоже напечатала
Вас заинтересует