• Предмет: Математика
  • Автор: Miska1111111
  • Вопрос задан 3 года назад

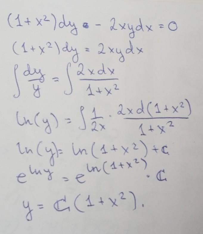
Найти общее решение дифференциального уравнения: (1 + x 2) dy – 2xy dx = 0

Ответы

Ответ дал: MathDaddy
1

Ответ: у = с (1 + х²).

решение на фотографии

Приложения:
Вас заинтересует