Ответы
Ответ дал:
1
Ответ:
x₁=2; x₂=2+√17; x₃= 2-√17
Пошаговое объяснение:
(x+2)(x-1)(x-3)(x-6)=16
x⁴-8x³+7x²+36x-36=16
x⁴-8x³+7x²+36x-52=0
(x-2)²(x²-4x-13)=0
(x-2)²=0; x²-4x-13=0
x-2=0; x²-4x=13
x=2; x²-4x+4=17
(x-2)²=17
x-2=√17; x-2= -√17
x=2+√17; x= 2-√17
Evgenia4836:
как из x⁴-8x³+7x²+36x-52=0 получилось (x-2)²(x²-4x-13)=0
Ответ дал:
0
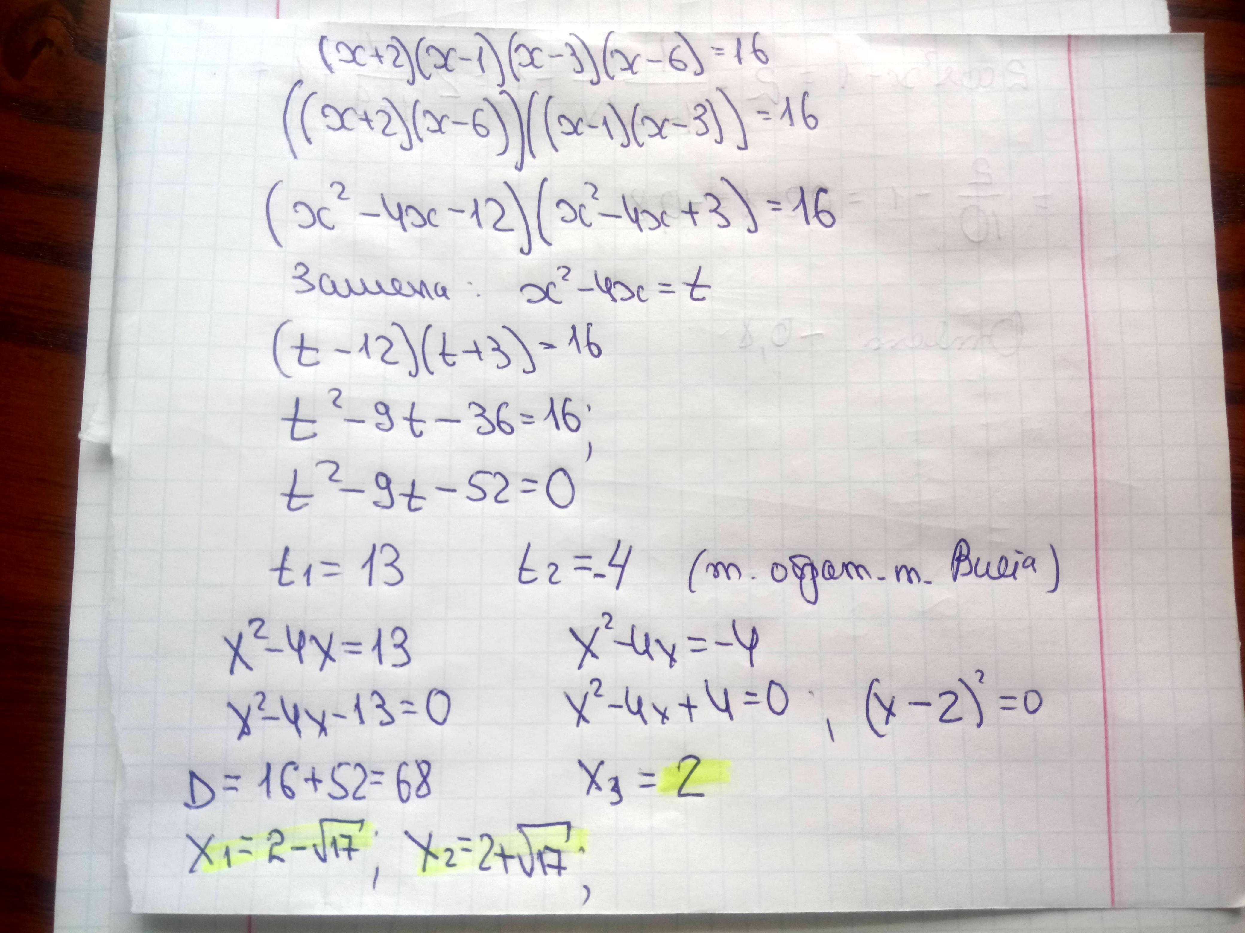
Способ замены
Решение задачи прилагаю
Приложения:

Вас заинтересует
2 года назад
2 года назад
2 года назад
2 года назад
7 лет назад
7 лет назад
9 лет назад