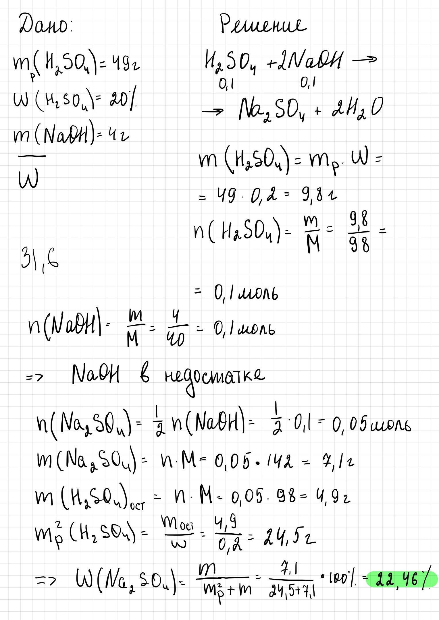
К раствору с массой 49грамм с массовой долей серной кислоты 20% добавили 4грамма гидроксид натрия . Массовая доля соли в растворе (в%) равна 1) 13,5 2) 16 3) 22,6 4) 8
Ответы
Ответ дал:
1
В прикрепленном фото привожу решение задачи.
Ответ: 3
Приложения:
Вас заинтересует
2 года назад
2 года назад
2 года назад
2 года назад
8 лет назад
8 лет назад
9 лет назад