• Предмет: Математика
  • Автор: ghjghj7780
  • Вопрос задан 3 года назад

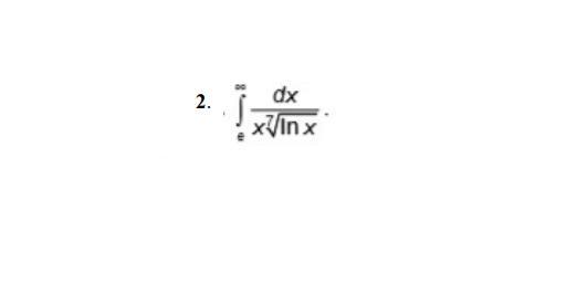
СРОЧНО 45 БАЛЛОВ (МАТЕМАТИКА) РЕШЕНИЕ ИНТЕГРАЛА ТОЛЬКО В ТЕТРАДИ

Приложения:

Ответы

Ответ дал: NNNLLL54
0

Ответ:

\int\limits^{\infty }_{e}\, \dfrac{dx}{x\cdot \sqrt[7]{lnx}}=\lim\limits _{A \to +\infty}\int\limits^{A}_{e}\, \dfrac{dx}{x\cdot \sqrt[7]{lnx}}=\lim\limits _{A \to \infty}\Big(\dfrac{7\sqrt[7]{ln^6x}}{6}\Big|_{e}^{A}\Big)=\\\\\\=\lim\limits _{A \to +\infty}\Big(\dfrac{7\sqrt[7]{ln^6A}}{6}-\dfrac{7\sqrt[7]{ln^6e}}{6}\Big)=+\infty \ \ \ ,\ \ \ rasxoditsya

Ответ дал: Аноним
0

Пошаговое объяснение:

см. во вложении

Приложения:
Вас заинтересует