• Предмет: Алгебра
  • Автор: St90
  • Вопрос задан 3 года назад

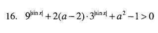
При каких a неравенство
9^( |sin x| )+2(a-2)*3^( |sin x| )+a^2-1>0
выполняется при всех x?

Приложения:

Ответы

Ответ дал: iosiffinikov
1

Ответ:

а>1

Объяснение:

3^|sin x|=y

y^2+2*(a-2)y+(a^2-2a+1)>2-2a

(y+a-2)^2>2*(1-a)

неравенство верно всегда , если а>1


iosiffinikov: наверное, следует добавит анализ того что происходит при а меньше либо равном 1. Там решений 1, 2 или нет совсем (для у, который меняется от 1 до 3).
Вас заинтересует