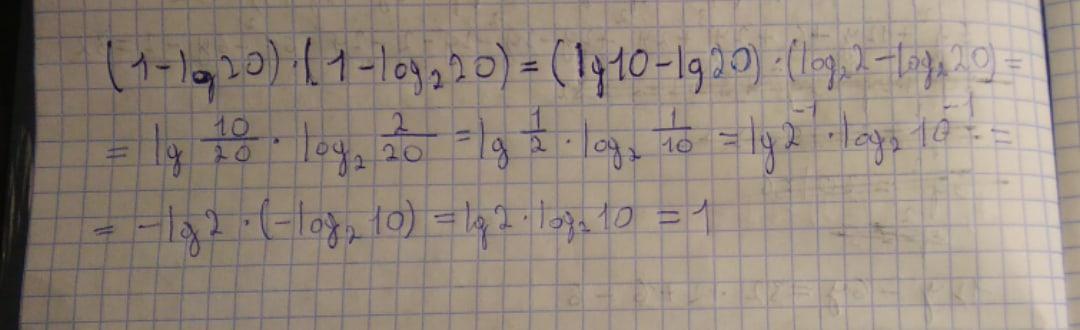
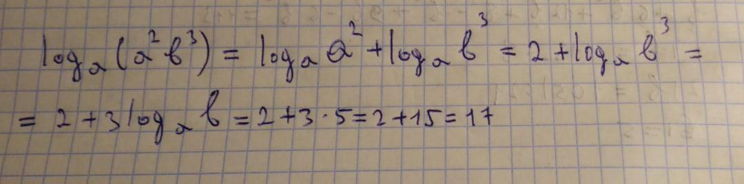
Вычислите: 1)2^(4*log2(3)) 2)(1 − lg20) ∙ (1 − log2 20) 3) log a (a2b3), если log a b = 5.
Приложения:

dimauchenik654454:
Сейчас дорешаю 3.
Ответы
Ответ дал:
1
Ответ:
81 ; 1 ; 17
Объяснение:
Решение на фото.
Приложения:



Ответ дал:
0
Объяснение:
2^4log2 3=2^log2 3⁴=3⁴=81
(1-lg20)*(1-log2 20)=1-log2 20-lg20+lg20*log2 20 =1-log2 (4*5)-lg (10*2)+lg (10*2)*log2 (4*5) там багато писати в кінцевому результаті повинно вийти lg10=1
знайти loga (a²b³), якщо loga b=5
loga (a²b³)=loga a² + loga b³=2+3loga b=2+3*5=17
Вас заинтересует
2 года назад
7 лет назад
7 лет назад
9 лет назад