• Предмет: Алгебра
  • Автор: gnomiha211
  • Вопрос задан 3 года назад

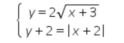
3) Найдите значение выражения 2хо–уо, если (хо; уо) – решение системы уравнений:
y= 2корень(x+3)
y+ 2= |x+2|

Заранее спасибо!❤

Приложения:

Ответы

Ответ дал: Olga8128
4

Решение:

Из второго уравнения системы выражаем y:

y = |x+2| - 2

И подставляем в первое уравнение:

|x+2|-2=2\sqrt{x+3}

При этом нужно учитывать, что:

\displaystyle \left \{ {{x+3 \geq 0} \atop { |x+2|-2 \geq 0}} \right.

Из первого неравенства получаем, что x\geq -3.

Во втором неравенстве нужно рассмотреть два случая: при x+2 \geq 0 имеем, что x \in [0;\infty), при x+2 \leq 0 получаем, что x \in (-\infty;-4]. В итоге x \in ( - \infty; -4 ] \cup [0; + \infty).

В итоге получаем пересечение x \in [0; \infty).

Учитывая это, возводим обе части полученного ранее уравнения в квадрат и раскрываем модули:

|x+2|-2 = 2\sqrt{x+3} \;\;\;\; (x \geq 0)\\\\x+2-2=2\sqrt{x+3} \\\\x = 2 \sqrt{x+3} \\\\x^2 = (2\sqrt{x+3} )^2 \\\\x^2 = 4x + 12\\\\x^2 - 4x - 12 = 0

При помощи теоремы Виета получаем, что:

\left[\begin{array}{ccc}x_1=-2\\x_2=6\end{array}\right

Первый корень не удовлетворяет нас по введенным ограничениям, так что x=6.

Найдем y:

y = |x+2|-2 = |6+2|-2=6

Получаем, что x=6 и y=6. Эта пара удовлетворяет и первому уравнению, как можно убедиться.

Так что:

2x_0-y_0 = 2 \cdot 6 - 6 = 12-6=6

Задача решена!

Ответ: 6.


gnomiha211: Спасибо огромное!!!!
Olga8128: Не за что : )
Ответ дал: lidiasaraa3
4

...............................

Приложения:

gnomiha211: Спасибо большое!!!
Вас заинтересует