• Предмет: Математика
  • Автор: veitv914
  • Вопрос задан 3 года назад

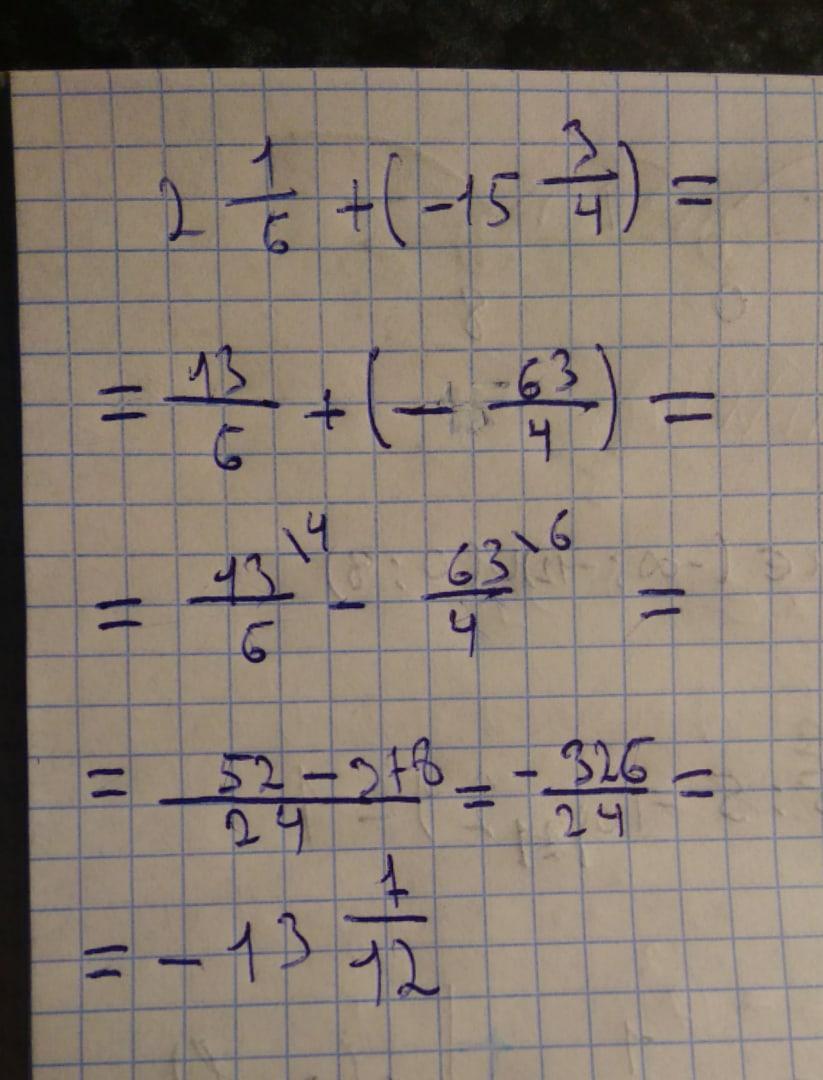
2 1/6+(-15 3/4)
Пожалуйста​


dimauchenik654454: 2 целых 1 шестая?

Ответы

Ответ дал: dimauchenik654454
0

Ответ:

-13 7/12

Пошаговое объяснение:

Приложения:
Ответ дал: gionak07
0

Ответ:

-13 7/12

Пошаговое объяснение:

2 1/6-15 3/4=-13 (18-4)/24=-13 14/24=

=-13 7/12

Вас заинтересует