• Предмет: Математика
  • Автор: Lol081101
  • Вопрос задан 3 года назад

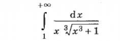
Исследовать сходимость несобственного интеграла

Приложения:

Ответы

Ответ дал: ИльяАнтонов2001
0

Ответ:

Сходится

Пошаговое объяснение:

Решение на фото. Сначала выносим из-под корня икс, затем смотрим, чему эквивалентен интеграл при х -> +оо. Решаем эквивалентный интеграл и получаем конечное число. Значит эквивалентный интеграл сходится. Тогда, по признаку сравнения, сходится и данный интеграл.

Приложения:
Вас заинтересует