• Предмет: Математика
  • Автор: Аноним
  • Вопрос задан 3 года назад

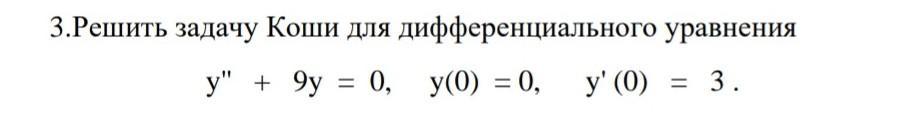
Помогите решить задачу Коши. Срочно умоляю.Дам 100 баллов.​

Приложения:

Ответы

Ответ дал: nubpolymaster
1

Лол кек чебурек, ну ладно.

Напишем характеристическое уравнение:

l^2 + 9 = 0\\l = +-3i\\y = c1*sin(3x) + c2*cos(3x)\\y(0) = 0 = c2\\y'(0) = 3 = c1*3*cos(3x) - c2*3*sin(3x) = c1\\c1 = 3\\y = sin(3x)

Ответ дал: Аноним
1

найдем корни характеристического уравнения к²+9=0

к=±3i

у=с₁cos3x+c₂sin3x

y'=-3c₁sin3x+3c₂cos3x

подставим в у и у' начальные условия, получим с₁=0, а из второго уравнения 3с₂=3⇒с₂=1, тогда частное решение у=sin3x

Вас заинтересует