• Предмет: Математика
  • Автор: ВиталийАлексеевич01
  • Вопрос задан 3 года назад

ОЧЕНЬ СРОЧНО Вычислите площадь фигуры, ограниченной линиями: y=x^2 и y =20 - 4х^2


labuh: ща

Ответы

Ответ дал: oganesbagoyan
0

https://znanija.com/task/37790229

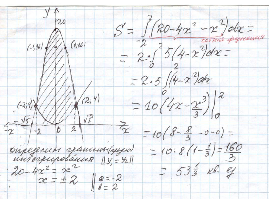
Вычислите площадь фигуры, ограниченной линиями :                y=x² и y =20 - 4х² .

Ответ: 53 1/3  кв.ед .

Пошаговое объяснение:

пределы  интегрирования:  x²=20 - 4х² ⇔5x²=20 ⇔

х² =4 ⇒ х = ±2     || a = -2 ; b=2 ||

s = ₋₂ ∫²(20 - 4х²- х²) dx = 2*₀∫⁴ (20 - 5х²) dx= 2*₀∫⁴5 (4 - х²) dx  =

=2*5*₀∫² (4 - х²) dx=10(4x -x³/3) |₀⁴ =10(4*2 -2³/3 -  0)

= 10*8(1-`/3) = 160/3  кв.ед .                          53 1/3

* * * y=x² и y =20 - 4х²   четные функции ⇒ их  разность 20 - 4х²-x²= 20 - 5x²=5(4- x²) тоже четная  функция * * *

сейчас добавлю решение можно на бумаге

Приложения:

labuh: а вот ссылку обязательно в ответ писать?
Вас заинтересует