• Предмет: Информатика
  • Автор: Marinocka43
  • Вопрос задан 3 года назад

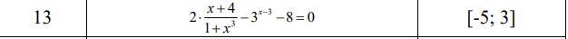
ОЧЕНЬ СРОЧНОНужна ваша помощь в Excel очень срочно. Работу сдавать завтра. Провести табулирование функции f(x) на заданном интервале (фото прикреплена). Очень срочно нужно ибо на выполнение задание 20 минут у меня

Приложения:

Ответы

Ответ дал: ForeignAgent
0

Ответ:

Объяснение:

на картинке и в файле. в точке -1 функция не существует т.к. знаменатель =0

Приложения:
Вас заинтересует