• Предмет: Математика
  • Автор: flexxxz
  • Вопрос задан 3 года назад

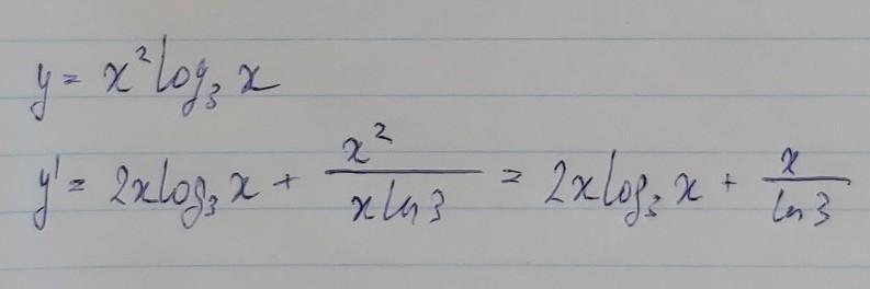
3. Найти производную функции y=x^2log3x

Ответы

Ответ дал: ИльяАнтонов2001
1

Ответ:

2x log_{3}x +  \frac{x}{ ln3}

Пошаговое объяснение:

Решение на фото.

Приложения:
Вас заинтересует