• Предмет: Физика
  • Автор: Eesus1
  • Вопрос задан 3 года назад

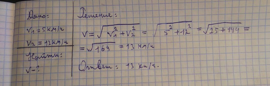
физика,10 кл Объясните вместе с формулой Плот спускается равномерно прямолинейно по реке. Скорость плота относительно берега 5 км/ч. Человек идет по плоту со скоростью 12 км/ч в направлении, перпендикулярном направлению движения плота. Какова скорость человека относительно берега реки?

Ответы

Ответ дал: dimauchenik654454
1

Ответ:

13 км/ч

Объяснение:

Решение на первой фотографии. Мы пользуемся формулой для закона сложения скоростей при перпендикулярном направлении движения.

Приложения:
Вас заинтересует