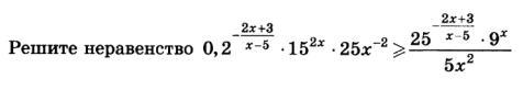
Решить неравенство. Решить неравенство.
Приложения:

Simba2017:
все влево и к степеням 5 и 3 все привести
Ответы
Ответ дал:
2
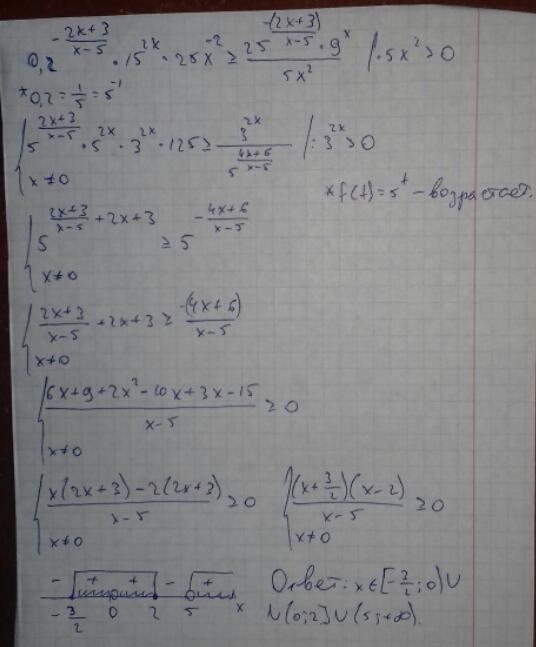
Решение и ответ на фото.
Приложения:

Вас заинтересует
2 года назад
2 года назад
2 года назад
2 года назад
7 лет назад