Ответы
Ответ дал:
0
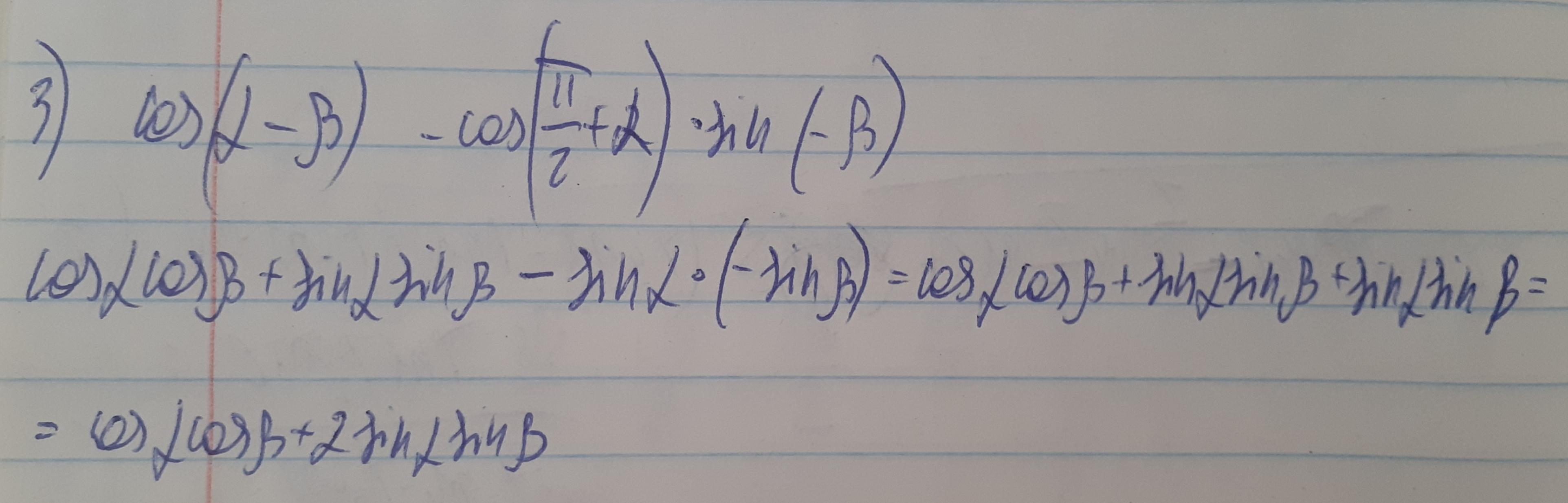
Вместо cos(pi/2 + 2) должно быть cos(pi/2 + а), полагаю
Приложения:

Вас заинтересует
2 года назад
2 года назад
2 года назад
2 года назад
7 лет назад
7 лет назад
9 лет назад