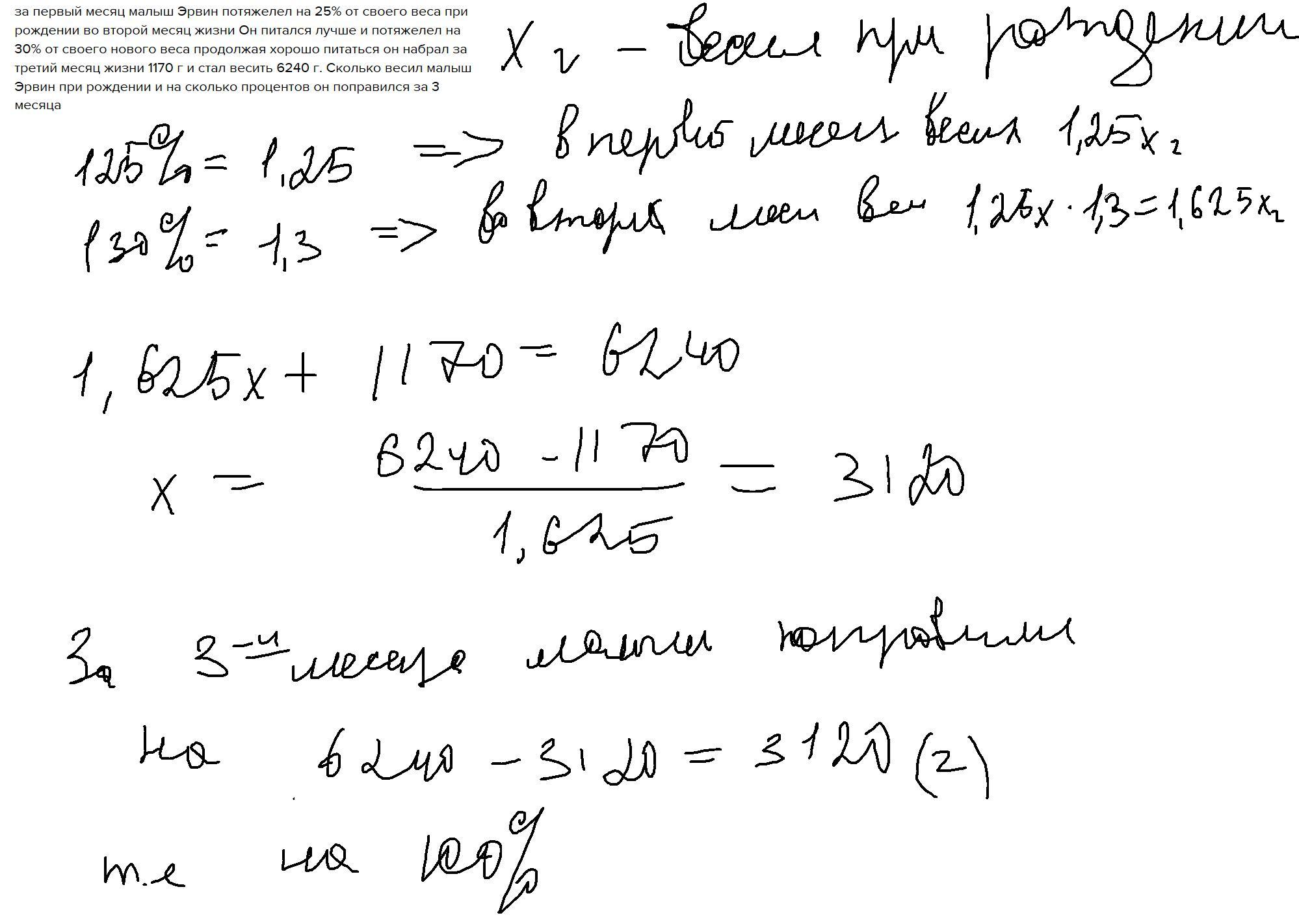
за первый месяц малыш Эрвин потяжелел на 25% от своего веса при рождении во второй месяц жизни Он питался лучше и потяжелел на 30% от своего нового веса продолжая хорошо питаться он набрал за третий месяц жизни 1170 г и стал весить 6240 г. Сколько весил малыш Эрвин при рождении и на сколько процентов он поправился за 3 месяца
Ответы
Ответ дал:
2
Ответ:
Пошаговое объяснение:за первый месяц малыш Эрвин потяжелел на 25%
Приложения:

Ответ дал:
1
Ответ:3120 грамм
Пошаговое объяснение:
Пусть в начале Эрвин весил х г. Тогда после первого потяжеления он стал весить на 25%, т.е. стал весить 1.25*х. После второго потяжеления он стал весить 1.25*1.3*х =1.625*х г. А после третьего месяца жизни он стал весить 1.625*х+1170 = 6240
Решаем уравнение 1.625*х =5070
х=3120 грамм
Вас заинтересует
2 года назад
2 года назад
2 года назад
7 лет назад
9 лет назад