• Предмет: Алгебра
  • Автор: raferd
  • Вопрос задан 3 года назад

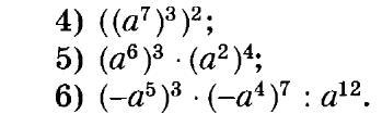
Ребят помогите решить ! Представьте в виде степени с основанием a выражение

Приложения:

Ответы

Ответ дал: planpeace
0

Ответ:

Объяснение:

4) a^(7*3*2) = a^42

5) a^(6*3 + 2*4) = a^26

6) a^(5*3 + 4*7 -12) = a^31

Ответ дал: NNNLLL54
0

((a^7)^3)^2=(a^{21})^2=a^{42}\\\\\\(a^6)^3\cdot (a^2)^4=a^{18}\cdot a^{8}=a^{26}\\\\\\(-a^5)^3\cdot (-a^4)^7:a^{12}=\dfrac{-a^{15}\cdot (-a^{28})}{a^{12}}=\dfrac{a^{43}}{a^{12}} =a^{31}

Вас заинтересует