Моторная лодка в 14:00 вышла из пункта А в пункт В, расположенный в 30 км от А.
Пробыв в пункте В 2 часа 30 минут, лодка отправилась назад и вернулась в пункт А в
22:00 того же дня. Найдите собственную скорость лодки в км/ч, если известно, что
скорость течения реки 1 км/ч?
Ответы
Ответ дал:
1
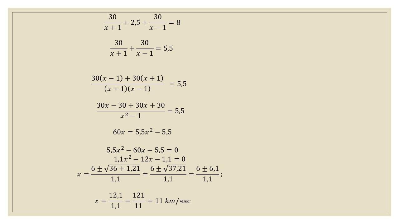
Ответ:
11 км/ч
Объяснение:
Моторная лодка в 14:00 вышла из пункта А в пункт В пробыв в пункте В 2 часа 30 минут,вернулась в пункт А в 22:00 того же дня.
Моторная лодка была на дороге 8 часов.
скорость течения реки - 1 км/ч
скорость лодки - х км/ч
время потраченная по течению 30/(х+1)
время потраченная против течению 30/(х-1)
Приложения:

Ответ дал:
0
Ответ:
Объяснение:
Ахахаха, все кто сдаёт экзамен тгу здесь собрались
Вас заинтересует
2 года назад
2 года назад
2 года назад
7 лет назад
7 лет назад
9 лет назад