Ответы
Ответ дал:
1
Ответ:
Объяснение:
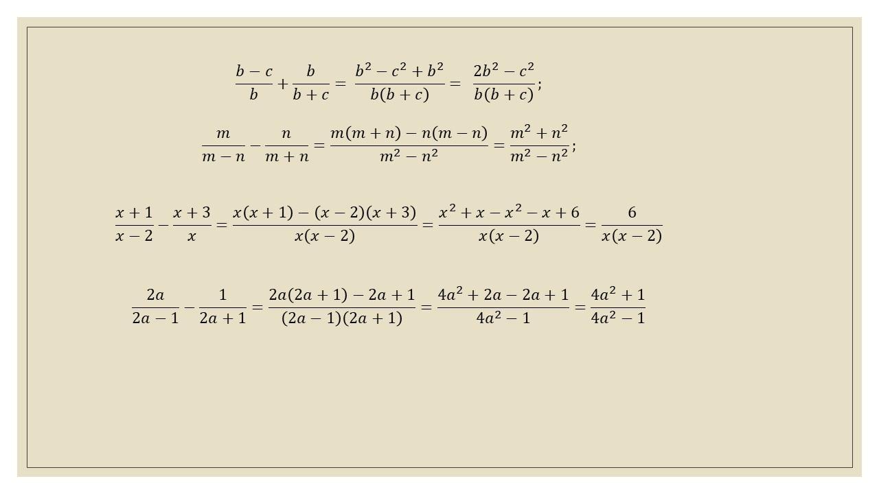
na foto
Приложения:

meermanovnurbek2:
спасибо большое!
Вас заинтересует
2 года назад
2 года назад
2 года назад
7 лет назад