Ответы
Ответ дал:
1
Ответ:
Ответы с решениями на фотографии.
Приложения:

Ответ дал:
1
Ответ:
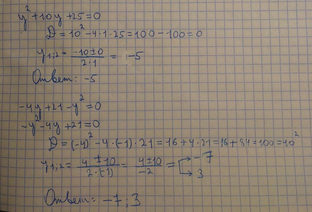
1.
y² + 10y + 25 = 0
Найдем дискриминант квадратного уравнения:
D = b² - 4ac = 10² - 4·1·25 = 100 - 100 = 0
Так как дискриминант равен нулю то, квадратное уравнение имеет один действительный корень:
y =
Ответ: y= -5
2.
4y+21 -y² = 0
Найдем дискриминант квадратного уравнения:
D = b²- 4ac = (-4)² - 4·(-1)·21 = 16 + 84 = 100
Так как дискриминант больше нуля то, квадратное уравнение имеет два действительных корня:
y₁ =
y₂ =
Ответ: у₁=3; у₂= -7
Вас заинтересует
2 года назад
7 лет назад
7 лет назад
9 лет назад